【2025年8月 更新】
不動産の「鑑定」と「査定」は似たような言葉ですが、大きな違いがあります。
★鑑定とは・・・不動産鑑定士だけが行うことができるもの。有料です。不動産鑑定は、特殊な不動産の売買の参考や、相続対策、税金対策などで活用されます。
★査定とは・・・不動産会社(不動産仲介業者)が行うもの。無料です。売買の予定がある場合に、仲介業務の一環として行われます。そのため、不動産会社には査定時は手数料を支払わずに、売買が成立したときに仲介手数料を支払います。
今回の記事では、不動産鑑定の費用について詳しく解説します。
不動産鑑定評価の費用(=料金、手数料、報酬)は、それぞれの不動産鑑定事務所が独自に決めています。
鑑定費用の相場は、20万円~50万円ほどです。
鑑定費用に幅がある理由は、不動産の種類や立地、面積などによって変わってくるからです。
「●●円ならば格安」とは一概にいえません。
不動産鑑定士は一人で自宅開業している人が多く、ホームページを持っていない鑑定事務所が多いので、鑑定費用の相場はとてもわかりにくいのが現状です。
正確な費用の見積もりを知りたいときは、鑑定士事務所に電話して聞いてみるのが確実です。
とはいえ、不動産鑑定の費用には一定の目安があり、多くの鑑定事務所が見積りの際に参考にする「指標」のようなものがあります。
事前にどの程度の費用がかかるのか知りたいときには、この指標を参考にされるとよいと思います。
鑑定を依頼するなら、できるだけ良心的な料金体系で、十分な実力がある不動産鑑定士を見つけたいもの。
この記事では、不動産鑑定費用の相場と合わせて、以下についても解説します。
・料金を割引してもらえるケース
・料金が割高になるケース
・「簡易鑑定」と呼ばれる安いレポートについて
・大手と中小の鑑定事務所の違い
・鑑定士の対応エリアはどれくらいの範囲か
———-
なお、「鑑定と査定の違い」については以下の記事で詳しく解説しています。
鑑定を取ったほうがよいのかわからないという方は、こちらの記事をご覧ください。
「不動産鑑定」と査定の違いは?費用は?【不動産鑑定士が解説】
———-
1. 不動産鑑定の費用(手数料)の相場は?報酬基準表とは?
ではさっそく、不動産鑑定の手数料の相場について解説していきます。
【2025年8月 更新しました】
1-1.不動産鑑定の相場
不動産鑑定の手数料は、20~50万円くらいになるケースが多いです。
ただし、鑑定費用の相場は、不動産の種類によって変わってきます。
そして、鑑定評価額が高くなればなるほど、不動産鑑定の費用も高くなる傾向があります。
例えば、千葉の相場でいうと、住宅地の中の50坪以下の土地の鑑定費用は、20万円~30万円くらいになるケースが多いです。
一戸建て(土地・建物)の鑑定費用は、25万円~40万円くらいが相場です。
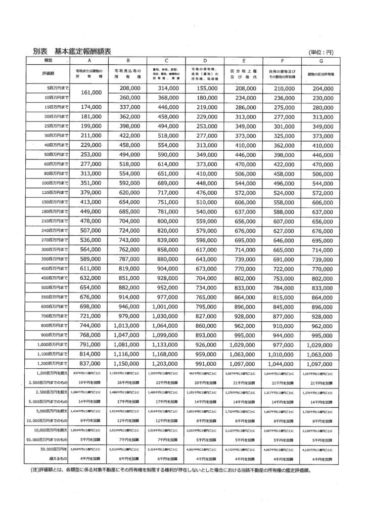
多くの不動産鑑定事務所は、下記の「報酬基準」を指標に使っています。
「公共事業に係る不動産鑑定報酬基準」(国土交通省・中央土地対策連絡協議会_令和2年改訂)
※税抜き表示です

例えば、土地だけの鑑定なら、「A 宅地または建物の所有権」の行を見てください。
評価額1,000万円まで:鑑定報酬は161,000円(+税)
評価額2,000万円まで:鑑定報酬は181,000円(+税)
評価額3,000万円まで:鑑定報酬は211,000円(+税)
評価額5,000万円まで:鑑定報酬は253,000円(+税)
評価額8,000万円まで:鑑定報酬は313,000円(+税)
評価額1億円まで:鑑定報酬は351,000円(+税)
評価額2.1億円まで:鑑定報酬は478,000円(+税)
一戸建てのマイホームなら、「F 自用の建物及びその敷地の所有権」になります。
「F 自用の建物及びその敷地」は土地と建物の所有者が同じで、自分で利用している場合です。
賃貸アパート一棟の鑑定に該当する項目はありませんが、「F」よりも何割か高めになります。
評価額1,000万円まで:鑑定報酬は236,000円(+税)
評価額2,000万円まで:鑑定報酬は277,000円(+税)
評価額3,000万円まで:鑑定報酬は325,000円(+税)
評価額5,000万円まで:鑑定報酬は398,000円(+税)
評価額8,000万円まで:鑑定報酬は458,000円(+税)
評価額1億円まで:鑑定報酬は496,000円(+税)
評価額2.1億円まで:鑑定報酬は607,000円(+税)
「公共事業に係る不動産鑑定報酬基準」というのは、本来は、公共事業のために役所が不動産鑑定を依頼するときの報酬を決めるためのものです。
つまり、「鑑定を繰り返しご依頼いただくことが多い」「公的な業務」という性格があるので、格安の報酬規準になっていると思います。
格安なのですが、とてもわかりやすい指標なので、こちらの報酬基準表をもとにして、それぞれの不動産鑑定事務所が自社の料金表を決めていることが多いです。
不動産鑑定士数人のご意見を聞いてみたところ、この報酬基準表は「本来の報酬額よりも2割程度安いのではないか」という意見が多かったです。
ざっくり言うと、この報酬基準表と同程度ならば、かなり良心価格の不動産鑑定事務所といえるでしょう。報酬基準表よりも2割くらい高くても、良心的です。大手の鑑定士事務所では、この料金表よりも全体的に高いはずです。ただし、良心的事務所でも「評価額が安いのに手間がかかって難しい」という案件は報酬表よりも高めになります。
1-2.不動産鑑定費用はなぜ「高い」のか?
鑑定費用の相場を聞いて、「想像よりも高いな」と感じた方もいらっしゃると思います。
不動産鑑定評価書というと、宝石の鑑定書のように、1枚の証明書のようなものを想像するからかもしれません。
実際の不動産鑑定評価書は、20ページ以上の分析レポートのような書類です。
不動産鑑定評価書には、「評価額」だけでなく、「その不動産がなぜその評価額になるのか」という根拠がぎっしりと書き込まれるので分量が多くなります。
不動産鑑定士は、不動産を眺めて、直感的に査定するわけではありません。
様々な調査と分析を積み重ねて鑑定評価額を計算していくため、手数料が高くなります。
「不動産鑑定といえば最低50万円はかかるだろう」というイメージを持っている方もいらっしゃいますが、当社では費用が50万円を超えるケースは少ないです。
1-3.不動産鑑定評価額がわからないと見積りが出ない?!
「報酬表」は鑑定評価額に応じて料金が決まるしくみです。
でも、鑑定評価額を出してみなければ鑑定の費用が決まらないのでは困ってしまいます。
事前に料金がわからないと依頼しにくいですから、鑑定評価を依頼するときには事前に見積りを取ることをおすすめします。
よつば不動産鑑定では、正式なご依頼前に対象不動産の所在地や種類をお伺いして、お見積りします。
お見積りの際には、評価額の高さよりも、「鑑定評価の難易度・業務量」を重視しています。
良心的な価格設定を心掛けており、上記の公共事業の報酬基準表よりも安くなるケースもあるので、まずはご連絡ください。
お見積りは無料です。
お見積りの際に教えていただきたいことは、
・物件の特徴(所在地、およその面積、土地/戸建住宅/アパートなど)
・鑑定の目的
・いつ頃までに必要か
弊社の評価エリアは千葉県、東京都を中心としていますが、受注が混みあっていないときは県外もお引き受けしています。
また、スケジュール上の制約から自社で対応できないときや、英文の鑑定評価が必要な場合などは、信頼できる他の不動産鑑定事務所をご紹介します。
2. 不動産鑑定の費用(料金)が割引・割り増しされるケースは?
不動産鑑定の費用は、割引されて安くなるケースや、逆に高めになるケースがあります。
2-1.鑑定の費用が割引されるケース
不動産鑑定の費用は、「料金表」よりも割引してもらえることがあります。
それは次のようなケースです。
・まとめて複数地点の割引
複数の地点の鑑定を一括して依頼する場合には、1件あたりの鑑定費用が割安になるケースが多いです。
・再評価
ご依頼の目的によっては、毎年、同じ不動産について鑑定評価を取得するような場合があります。
このようなときは、初回の鑑定手数料がいくら、2回目以降はいくら、というように割引されることが多いです。
2-2.鑑定の費用が高くなるケース
不動産鑑定の費用は、評価額が高くなると費用も高くなっていくのが一般的です。
その他に、不動産鑑定の内容が難しいと費用が高くなります。
具体的には以下のようなケースです。
・裁判所に提出するための鑑定評価
・至急扱い(一般的な納期は1ヶ月前後)
・限定価格(隣地を購入すると画地条件が良くなる場合など)
・借地権や賃料(家賃、地代)の鑑定評価
・過去時点の鑑定評価
・特殊な不動産(ゴルフ場や大規模な病院、工場、ホテルなど)
・英文の鑑定評価
3. 簡易鑑定なら料金は安くなる
次に、「簡易的な評価書がほしい」というケースについて解説します。簡易評価ならば、費用が安くなったり、納期を短縮できます。
3-1.簡易鑑定は費用が安いけれどどんなもの?
鑑定評価書の一部を省略した簡易的な報告書ならば、調査費用(料金)は安くなります。
「簡易鑑定」というのは通称で、実際は「調査報告書」「価格調査書」「意見書」といった名称の書類になります。
報告書の内容はケースバイケースで、不動産鑑定士と相談しながら、ニーズに応じて決めていくことになります。
例えば以下のような内容です。
・正式鑑定と計算方法は同じだけれど、説明の一部を簡略化するもの。
・正式鑑定で適用する3つの手法のうち、1手法だけ使うもの。
・現地調査をしないで机上で査定するもの。
ちなみに、「簡易鑑定評価書」という書類は存在しません。
正式な鑑定評価書との混同を避けるために、簡易的な報告書に「鑑定」や「評価」という語句を用いることはできないことになっています(国土交通省のガイドラインによる)。
3-2.簡易鑑定を発行できる場面は限定的
「簡易鑑定でもかまわないから、格安で査定してほしい!」という方もいらっしゃるでしょう。
ところが、簡易鑑定(調査報告書など)は、正式な鑑定評価書ではないので、税務署や裁判所への提出書類には使えません。
また、直接売買、離婚調停、相続トラブルなどで、相手方に対して交渉材料として提示するのにも向いていません。
そのため、簡易的な調査報告書を発行する場面は限定的です。
国土交通省のガイドラインによると、以下の3つのケースでは簡易的な調査報告書で対応が可能です。
・内部利用(社内の稟議書類や、個人的な意思決定の参考)
・開示先も同意している
・会計上の要請
ガイドラインはわかりにくいので、調査報告書(簡易鑑定)を発行できるかどうか知りたいときには、不動産鑑定士にご相談ください。
4. 不動産鑑定会社の選び方について知っておきたいこと
4-1.大手と中小の不動産鑑定会社の違い
世の中の不動産鑑定事務所のほとんどは、不動産鑑定士が1人と事務職員、という構成です。
不動産鑑定士が10人以上いるような大手不動産鑑定事務所は数えるほどしかありません。
大手と中小の不動産鑑定会社の違いについてご紹介します。
(1)大手の不動産鑑定会社に依頼するのが向いているのは?
短期間に大量の不動産鑑定を依頼したいときには、大手の鑑定事務所が向いています。
東京、大阪など複数の支社があれば、全国に散らばった複数地点の鑑定もスムーズに行えます。
ただし、大手の鑑定事務所ではベテラン鑑定士から新人鑑定士まで多数の鑑定士が在籍しているため、誰が物件を担当するかわからないのがデメリットといえます。
(2)中小の不動産鑑定会社に依頼するメリット、デメリットは?
小規模に開業している不動産鑑定事務所なら、都心に広い事務所を構えているよりも鑑定費用を抑えやすい傾向があります。
また、ホームページ等で鑑定士の人柄や経歴を確認し、相談しやすい鑑定士を選べるのもメリットです。
ただし、中小の鑑定事務所では、大量の鑑定評価を短期間に行うのは難しいのがデメリットです。
4-2.実は不動産鑑定の対応エリアは幅広い
不動産鑑定を依頼するときには、所在地に近い鑑定事務所でなくてもかまいません。
不動産鑑定士の営業エリアは意外と幅広く、全国対応の鑑定事務所もあります。
ただし、地元の鑑定士に依頼すれば、その地域のデータをすでに豊富に持っているため、迅速に対応できる可能性は高いです。
地元の鑑定士を探すには、各都道府県の鑑定士協会のホームページから探せます。
例えば、千葉県の鑑定士を探したいときには、「千葉県 不動産鑑定士協会」を検索し、「会員一覧」のページをご覧ください。
なお、東京都23区の鑑定事務所では、市街化調整区域の鑑定や農地・山林の鑑定経験がほとんどないかもしれません。
得意分野はある程度決まっているので、少し特殊な不動産の鑑定を依頼するときには事前に問い合わせる必要があります。
4-3.不動産鑑定は「適正料金」と「高品質」の両方が大切
不動産鑑定評価で最も重要なのは、結論の「鑑定評価額」が妥当かという点です。
さらに、その評価額の根拠をしっかりとわかりやすく書いてあることも、優良な不動産鑑定評価書の条件です。
不動産鑑定評価書に記載しなければならない内容は、法律で定められています。
ところが、必須記載事項が抜けていたり、矛盾点だらけの鑑定評価書を裁判所に提出し、相手方にミスを指摘されてしまうような問題が実際に報告されています。
格安で鑑定評価書を手に入れたとしても、品質が悪ければ役に立ちません。
高品質な鑑定評価書を適正料金で提供してもらえるような鑑定事務所を見つけることは非常に重要です。
弊社では、事前に依頼内容をじっくりお伺いして、できるだけリーズナブルなお見積りを心掛けています。
代表者は東京都内の大手不動産鑑定事務所で経験を積んでいるため、商業地、高級住宅地の鑑定実績が豊富です。
現在は千葉県の「ほどよい田舎」で開業しているため、郊外の住宅・山林・農地まで幅広く対応できるのが強みです。
ご依頼者様の多くは、相続や離婚のトラブル、税金の悩み、直接売買の悩みなど、様々なご事情を抱えています。
これらの悩みを解決するために、不動産鑑定評価が役立てばこれほどうれしいことはありません。
適正価格で高品質な鑑定評価書をご提供することをお約束しますので、ぜひ一度ご相談ください。

